Ulaganje predstavlja odricanje od novca u očekivanju koristi u budućnosti. Akcije kupuju fizička lica, penzioni fondovi, osiguravajuća društva, investicioni fondovi, banke, trgovačka društva itd. Svojstvo akcionara stiče se uplatom iznosa prilikom emitovanja akcija ili njihovom kupovinom na berzi.
U zavisnosti od vrste akcije i broja akcija sa kojima raspolaže, akcionar može imati pravo na informacije o poslovanju preduzuća, pravo glasa u skupštini akcionara, mogućnost izbora organa upravljanja i organa nadzora. Jedan od razloga kupovine akcija na berzi je želja investitora da upravlja preduzećem. Akcionari koji imaju značajno učešće u kapitalu preduzeća imaju veliki uticaj na poslovanje akcionarskog društva.
Zarada od kupovine akcija na berzi se ostvaruje putem kapitalne dobiti i isplaćenih dividendi akcionarima. Kapitalna dobit predstavlja razliku u cijeni po kojoj je investitor kupio akcije i cijeni po kojoj je investitor prodao akcije. Ako preduzeće čije ste akcije kupili uspješno posluje i razvija se, vrijednost akcija na berzi će vremenom rasti. Ako su akcije likvidne lako ćete svoja ulaganja konvertovati u novac ako želite. Moguće je da cijena po kojoj investitor prodaje akcije bude niža od cijene po kojoj ih je kupio, tada kažemo da je investitor ostvario kapitalni gubitak. Akcije za koje se očekuje veći prinos sa sobom nose i veći rizik.
Dividenda je dio neto dobiti koja se isplaćuje vlasnicima akcija. Vlasnici običnih akcija dobijaju dividendu tek nakon vlasnika prioritetnih akcija preduzeća. Ako preduzeće čije ste akcije kupili posluje negativno, ostvaruje gubitak, tada on ostaje bez dividende. Takođe može se desiti da preduzeće koje ostvaruje dobit ne isplati dividendu. Odluku o tome donose akcionari, u zavisnosti od potrebe da se ostvarena dobit reinvestira. Donošenjem odluke o reinvestiranju akcionari očekuju da će to dovesti do uspješnijeg poslovanja u budućnosti preduzeća.
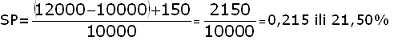
Za investitore najvažniji pokazatelj je stopa prinosa na njihova ulaganja u akcije. Prinos koji ostvaruje investitor sastoji se, kao što smo pomenuli, od dividende i kapitalne dobiti. Stopa prinosa izračunava se za vremenski period od kada je investitor kupio akcije do njene prodaje na berzi. Pretpostavimo da je investitor za 10 000 KM (uključujući proviziju koju je platio brokeru) kupio akcije i da je poslije izvjesnog vremena prodao te akcije za 12 000 KM (iznos dobijen nakon umanjenja brokerske provizije) po akciji. U tom periodu je isplaćena i dividenda u visini od 150 KM. Stopa prinosa na ulaganja u ovu hartiju od vrijednosti tada bi bila:

Kapitalna dobit i dividenda usko su vezani za ostvarene poslovne rezultate kompanije, odnosno profita kompanije, te se zarade smatraju najvažnijim faktorom koji utiče na cijene akcija. Naravno, objavljivanje finansijskih rezultata koje ostvaruju kompanije od velike je važnosti za informisanje učesnika na tržištu kapitala. Na svim razvijenim tržištima Komisija za hartije od vrijednosti nametnula je obavezu preduzećima sa čijim se akcijama trguje na berzi da kvartalno izveštavaju o tome kakvi su poslovni rezultati preduzeća. Na osnovu tih izvještaja analitičari pokušavaju identifikovati akcije koje su pogrešno procijenjene.
Dakle, ukoliko preduzeće čije ste akcije kupili uspješno posluje (ostaruje profit) tada akcionari imaju mogućnost zarade. Time ulaganje u akcije uspješnih preduzeća i nije toliko rizično kao što se na prvi pogled čini.